2022考研数学高数各类型积分公式汇总
2020/12/31 13:37:39
来源: 网络
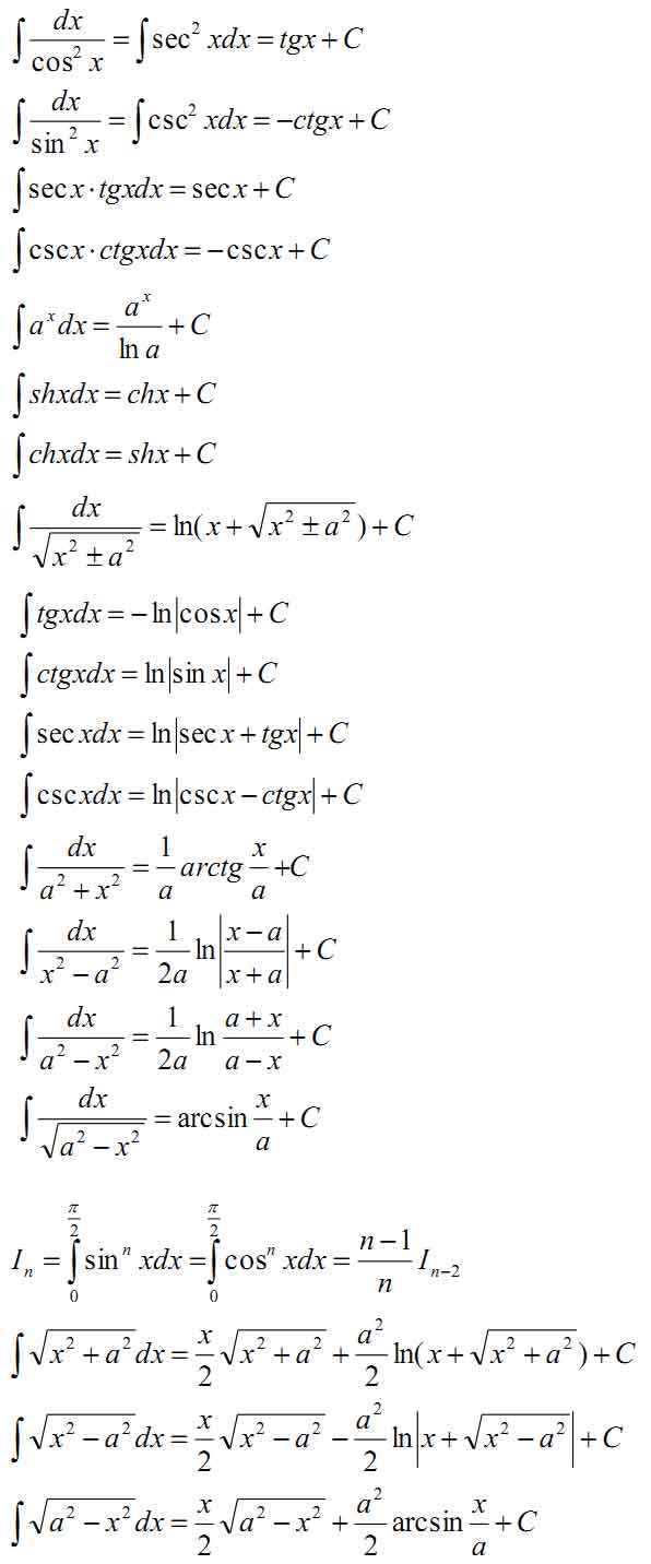
2022考研的同学们已经开始进入基础复习阶段了,良好的起点对后期备考至关重要,海天考研小编为考生们整理了考研数学高数的积分公式,希望对各位2022考研的考生们有所帮助。


热门推荐





